【摘要】:
對于固定的標刻圖形,影響打標效率的因素可以分為設備本身和加工材料。從這兩大因素,可以細分到不同的方面:
對于固定的標刻圖形,影響打標效率的因素可以分為設備本身和加工材料。從這兩大因素,可以細分到不同的方面:

因此最終影響打標效率的有填充類型、場鏡(填充線間距)、振鏡(掃描速度)、延時、激光器、加工材料等因素。
1、選擇合適的填充類型二、提高打標效率的措施
弓形填充:打標效率最高,有時會出現銜接線、不均勻問題。打標細的的圖形、字體時,不會出現上述問題,所以弓形填充為首選。
雙向填充:打標效率次之,效果好。
單向填充:打標效率最慢,實際加工中很少使用。
回形填充:只有打標細的圖形、字體時才會使用,效率與弓形填充差不多。
備注:在不要求細節效果的情況下,使用弓形填充可以提高打標效率。雙向填充是能保證效果和效率的最佳選擇。

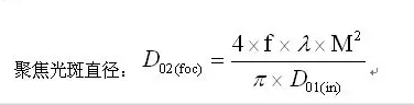
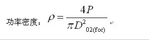
2、選擇合適的場鏡
場鏡焦距越大,聚焦光斑越大;同樣光斑重疊率下,可以增大填充線間距,從而提高了打標效率。

備注:場鏡越大,功率密度越小,因此要保證足夠打標能量的情況下增大填充線間距。

3、選擇高速的振鏡
普通振鏡,最高掃描速度只能到達兩三千毫米每秒;高速振鏡,最高掃描速度可以達到上萬毫米每秒,有效的調高了打標效率。另外,使用普通振鏡打標細小的圖形或字體時,容易出現變形,必須通過降低掃描速度來保證效果。
4、設置合適的延時
不同的填充類型受不同延時的影響,因此減小與該填充類型無關的延時,可以提高打標效率。
弓形填充、回形填充:主要受拐角延時影響,可以減小開光延時、關光延時、結束延時。
雙向填充、單向填充:主要受開光延時、關光延時影響,可以減小拐角延時、結束延時。
備注:粗的圖形、字體受延時影響小,可以適當減小延時。細的圖形、字體受延時影響大,可以適當增大延時。
5、選擇正確的激光器
首脈沖可用的激光器,調整好首脈沖高度,開光延時可以為0,對于雙向填充、單向填充這些經常開關光的方式,可以有效的提高打標效率。
選擇脈沖寬度與脈沖頻率獨立可調的激光器,既可保證在高掃描速度下,聚焦后光斑能有一定重疊量,又能保證激光能量有足夠的峰值功率,達到材料的破壞閾值,使材料氣化。
6、加工材料
例如:好的(氧化層厚、氧化均勻、無拉絲處理、噴砂細膩)陽極氧化鋁,掃描速度達到兩三千毫米每秒時,還可以打出很黑的效果;差的氧化鋁,掃描速度只能達到幾百毫米每秒。因此,合適的加工材料,可以有效的提高打標效率。
7、其它措施
勾選“平均分布填充線”
對于打標粗的圖形、字體,可以去除“使能輪廓”和“饒邊走一次”
在效果允許的情況下,可以增大“高級”的“跳轉速度”、減小“跳轉延時”
激光打標大范圍的圖形,適當的分成幾部分填充,可以有效的減小跳轉時間,提高打標效率。
(本文由創軒激光編輯,轉載須注明出處: www.zjsfgs.cn,珍惜別人的勞動成果,就是在尊重自己)
| 免費提供解決方案/免費打樣 137-7609-3768
服務熱線:
137-7609-3768
掃一掃聯系客服